Struktur Enzim Lipase

Pengertian struktur komponen enzim fungsi lapisan anatomi dan bagian. Enzim tidak bisa bereaksi tetapi hanya dapat mempercepat proses reaksi tetapi struktur enzim tidak berubah baik itu sebelum dan. Enzim lipase dibuat di dalam mulut pankreas serta lambung.
struktur enzim lipase

lazy

Download

Struktur Enzim
dokumen.tips
lazy

Download

Mekanisme Kerja Enzim Lipase Enzim Lipase Dihasilkan Oleh Kelenjar Pankreas Dan Kemudian Dialirkan Kedalam Usus Dua Belas Jari Docx
id.scribd.com
lazy

Download

Https Encrypted Tbn0 Gstatic Com Images Q Tbn 3aand9gcszdbkl9ewdwtbxwoz6jkbgz5kqul1smeugdeoqlqy Usqp Cau
encrypted-tbn0.gstatic.com
lazy

Download

Enzim Pencernaan Pengertian Fungsi Jenis Organel Lengkap
kitchenuhmaykoosib.com
lazy

Download

Https Journal Ipb Ac Id Index Php Jipi Article Download 8394 6540
lazy

Download

Enzim Adalah Suatu Biokatalisator Yaitu Suatu Bahan Yang Berfungsi Mempercepat Reaksi Kimia Dalam Tubuh Makhluk Hidup Tetapi Zat Itu Sendiri Tidak Ikut Ppt Download
slideplayer.info

Dengan demikian lipase tergolong dalam enzim esterase.

Struktur enzim lipase. Enzim adalah protein seperti protein enzim mengandung rantai asam amino terkait bersama sama. Enzim lipase usus yaitu enzim yang berfungsi untuk mengubah lemak menjadi asam lemak dan gliserol. Enzim entrokinase ini terdapat di bagian usus halus.

Demikian artikel tentang usus halus. Dari jaringan hewan enzim yang terutama adalah tripsin pankreas lipase dan enzim untuk pembuatan mentega. Ada dua jenis enzim esterase yakni enzim lipase dan enzim fostatase.

Sel yang melapisi usus anda membuat enzim yang disebut maltase sukrase dan laktase masing masing mampu mengkonversi jenis tertentu gula menjadi glukosa. Lipase amilase maltases pepsin protease katalases maltase sukrase pepsin renin. Fungsi dari enzim lipase enzim adalah sebuah senyawa yang memainkan peran sangat penting di dalam me metabolisme tubuh manusia sebab keberadaan tulisan terbaru.

Meskipun amilase protease dan lipase adalah tiga enzim utama tubuh anda menggunakan untuk mencerna makanan banyak enzim khusus lainnya juga membantu dalam proses. Enzim ini juga mampu mengkatalisasi pembentukan ikatan ester esterifikasi dan pertukaran ikatan ester transeterifikasi pada media bukan air. Enzim adalah pengertian sifat struktur faktor cara kerja dan contohnya dosenpendidikancom enzim merupakan molekul protein kompleks yang di hasilkan dari sel hidup yang berfungsi sebagai katalisator dalam proses kimia dalam tubuh makhluk hidup.

Pengertian fungsi struktur bagian enzim dan penyakit pada usus halus lengkap semoga bermanfaat. Enzim yang secara tradisional diperoleh dari tumbuhan termasuk protease papain fisin dan bromelain amilase lipoksigenase dan enzim khusus tertentu. Enzim lipase yang diproduksi dan dikeluarkan oleh pankreas disebut sebagai lipase pankreas.

Struktur dan fungsi enzim akan diuraikan secara singkat dalam artikel berikut. Enzim erepsin atau dipeptidase ialah enzim yang berperan buat mengganti pepton menjadi asam amino. Beberapa contoh terkenal dari enzim adalah sebagai berikut.

By ulia kumalasari posted on june 4 2020 june 4 2020. Enzim esterase adalah jenis enzim yang dapat berfungsi dalam proses penguraian senyawa ester. Di bawah ini adalah masing masing penjelasan dari jenis jenis lipase enzyme yaitu.

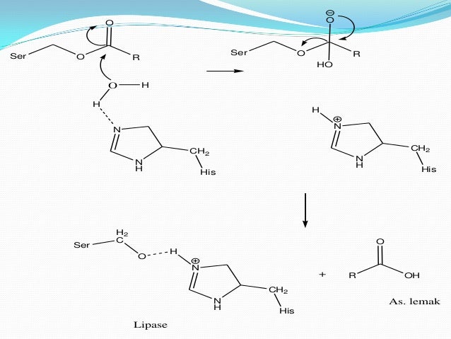
Enzim lipase usus ialah enzim yang berperan buat mengganti lemak menjadi asam lemak dan gliserol. Penyakit pada usus halus. Lipase adalah enzim yang dapat sekali bekerja dengan mengkatalisis hidrolisis ikatan ester dalam substrat lipid yang tidak larut air seperti trigliserida berantai panjang.

Fungsi enzim lipase adalah mengubah trigliserida menjadi asam lemak dan senyawa gliserol. Demikian penjelasan materi tentang usus halus.

lazy

Download

Https Media Neliti Com Media Publications 221195 Produksi Dan Karakterisasi Enzim Lipase Pdf
lazy

Download

Struktur Enzim
www.slideshare.net
lazy

Download

Https Media Neliti Com Media Publications 54087 Id None Pdf
lazy

Download

Pengertian Metabolisme Lemak Proses Fungsi Jenis Gangguan
www.gurupendidikan.co.id
lazy

Download

Biokimia Enzim Lipid
www.slideshare.net
lazy

Download

Https Journal Ipb Ac Id Index Php Jurnalikt Article View 19280 14206
lazy

Download

Fungsi Enzim Tripsin Struktur Inhibitor Gangguan Definisi Dan Penjelasan Apayangdimaksud Com
apayangdimaksud.com
lazy

Download

Biomolekul Karbohidrat Protein Lipid Asam Nukleat Struktur Uji Golongan
www.studiobelajar.com
lazy

Download

Peran Enzim Dalam Metabolisme Lengkap Pengertian Komponen Sifat Dan Cara Kerja Enzim Markijar Com
www.markijar.com
lazy

Download

Struktur Enzim
www.slideshare.net
lazy

Download

Fungsi Struktur Faktor Yang Mempengaruhi Cara Kerja Enzim
ardra.biz
lazy

Download

Ppt Enzim Powerpoint Presentation Free Download Id 4471101
www.slideserve.com
lazy

Download

Isolasi Dan Aktivitas Enzim Lipase Hasil Isolasi Dari Dedak Padi Litayani Dafrosa Academia Edu
www.academia.edu
lazy

Download

1
encrypted-tbn0.gstatic.com
lazy

Download

Sifat Enzim Pengertian Enzim Kerja Enzim Sifat Sifat
bacaboy.com
lazy

Download

Pengertian Dan Sifat Sifat Enzim Biologi Kelas 12
blog.ruangguru.com
lazy

Download

Enzim Sifat Struktur Dan Cara Kerjanya Lengkap
saintif.com
lazy

Download

Percobaan Ii Enzim Praktikum Biokimia Najih Web Id
najihullah.blogspot.com
lazy

Download

Biokimia Enzim Lipid
www.slideshare.net
lazy

Download

1
encrypted-tbn0.gstatic.com
lazy

Download

Fosfatase Wikipedia Bahasa Indonesia Ensiklopedia Bebas
id.wikipedia.org
lazy

Download

Https Journal Uinsgd Ac Id Index Php Istek Article Download 186 201
lazy

Download

2
lazy

Download

Http Staffnew Uny Ac Id Upload 132310880 Penelitian Isolasi Dan Uji Aktivitas Enzim Lipase Termostabil Dari Bekteri Termofilik Pasca Erupsi Merapi Pdf
lazy

Download

Http Staffnew Uny Ac Id Upload 132310880 Penelitian Isolasi Dan Uji Aktivitas Enzim Lipase Termostabil Dari Bekteri Termofilik Pasca Erupsi Merapi Pdf
lazy

Download

Rekayasa Genetika Mikroorganisme Penghasil Enzim Lipase Untuk Produk Bakery Pondok Ilmu
aguskrisnoblog.wordpress.com
lazy

Download

Http Lib Ui Ac Id File File Digital 2016 9 20181928 S30710 Britsanti 20dewi 20hernawati Pdf
lazy

Download

Klasifikasi Enzim Pengertian Sifat Struktur Ciri Komponen
www.dosenpendidikan.co.id
lazy

Download

Pengertian Enzim Fungsi Sifat Dan Macam Macamnya
rumusbilangan.com
lazy

Download

Struktur Dan Fungsi Enzim Artikel Hiham Id
artikel.hisham.id
lazy

Download

Enzim Adalah Pengertian Cara Kerja Fungsi Sifat Lengkap
pendidikan.co.id
lazy

Download

Biokimia Enzim Lipid
www.slideshare.net
lazy

Download

Enzim Lipase
studylibid.com
lazy

Download

Enzim Pada Proses Metabolisme Materi Belajar
novarin88.blogspot.com
lazy

Download

Contoh Soal Sifat Enzim Dan Kinerjanya Sma 2 Idschool
idschool.net
lazy

Download

Pdf Sintesis Ester C Sebagai Senyawa Antioksidan Menggunakan Biokatalis Enzim Lipase Zeolit Alam
www.researchgate.net
lazy

Download

Memahami Enzim Makanan Health Nutrition Services
lagizi.com
lazy

Download

Sistem Pencernaan Pada Manusia Pengertian Jenis Dan Fungsi Bidanku Com
bidanku.com
lazy

Download

Enzim Wikipedia Bahasa Indonesia Ensiklopedia Bebas
id.wikipedia.org
lazy

Download

Enzim Lipase
id.scribd.com
lazy

Download

Https Ojs Unud Ac Id Index Php Itepa Article Download 27504 17413
lazy

Download

Enzim Adalah Pengertian Sifat Struktur Faktor Dan Contoh
www.dosenpendidikan.co.id
lazy

Download

Enzim
dokumen.tips
lazy

Download

Laporan Praktikum Biokimia 1 Indah Rahmawati
sites.google.com
lazy

Download

Struktur Enzim Dan Mekanisme Kerja Enzim Biologi Edukasi Belajar Sains Biologi
www.biologiedukasi.com
lazy

Download

Doc Makalah Enzim Docx Fina Wuner Academia Edu
www.academia.edu
lazy

Download

Struktur Enzim
www.slideshare.net
lazy

Download

Pengertian Fungsi Sifat Dan Macam Macam Enzim
www.softilmu.com
lazy

Download

Enzim Klasifikasi Dan Fungsi Enzim
www.slideshare.net
lazy

Download

Pengertian Struktur Sifat Sifat Mekanisme Dan Cara Kerja Tata Nama Serta Jenis Jenis Enzim Materiedukasi Com
www.materiedukasi.com
lazy

Download

Apa Yang Dimaksud Dengan Enzim Biologi Dictio Community
www.dictio.id
lazy

Download

Struktur Enzim
www.slideshare.net
lazy

Download

Lipid Wikipedia Bahasa Indonesia Ensiklopedia Bebas
id.wikipedia.org
lazy

Download

Pengertian Struktur Sifat Sifat Mekanisme Dan Cara Kerja Susunan Tata Nama Dan Penggolongan Macam Macam Peranan Serta Faktor Yang Mempengaruhi Kerja Enzim Dalam Proses Metabolisme Materiedukasi Com
www.materiedukasi.com
lazy

Download

Pengaruh Tingkat Ph Pada Kinerja Enzim
www.amazine.co
lazy

Download

Pdf Inaktivasi Enzim Lipase Untuk Stabilisasi Bekatul Sebagai Bahan Ingredient Pangan Fungsional
www.researchgate.net
lazy

Download

Presentase Enzim Lipase
pt.slideshare.net
lazy

Download

Https Ejurnal Poltekkes Tjk Ac Id Index Php Janaliskes Article Download 453 424
lazy

Download

Enzim
www.plengdut.com
lazy

Download

Presentase Enzim Lipase
pt.slideshare.net
lazy

Download

Lemak Wikipedia Bahasa Indonesia Ensiklopedia Bebas
id.wikipedia.org
lazy

Download

Https Journal Ipb Ac Id Index Php Jipi Article Download 8394 6540
lazy

Download

Presentase Enzim Lipase
pt.slideshare.net
lazy

Download

Fungsi Enzim Ptialin Tripsin Amilase Lipase Renin Pepsin Dll
www.zonareferensi.com
lazy

Download

Fungsi Enzim Lipase Adalah Untuk Konsep Dan Definisi Apafungsi Com
apafungsi.com
lazy

Download

Biomolekul Karbohidrat Protein Lipid Asam Nukleat Struktur Uji Golongan
www.studiobelajar.com
lazy

Download

Enzim Docx Pembahasan Materi Enzim Disusun Oleh Kelompok 1 1 Desya Handayani 2 Fadila Ayu Putri 3 Gilang Ferdian Ramses 4 Misyati 5 Ramadanti 6 Tri Course Hero
www.coursehero.com
lazy

Download

Cara Kerja Enzim Sifat Faktor Ciri Fungsi Berserta Komponen Murid Co Id
www.murid.co.id
lazy

Download

Https Ejournal Unsrat Ac Id Index Php Teta Article Download 16349 15851
lazy

Download

All About Chemistry Enzim Lipase Steapsin
rositaningrum.blogspot.com
lazy

Download

Cara Kerja Enzim Penjelasan Teori Faktor Secara Lengkap
kitchenuhmaykoosib.com
lazy

Download

Pengertian Enzim Laktase Sifat Manfaat Dan Sumber Makanan
www.gurupendidikan.co.id
lazy

Download

Http Staffnew Uny Ac Id Upload 132310880 Penelitian Isolasi Dan Uji Aktivitas Enzim Lipase Termostabil Dari Bekteri Termofilik Pasca Erupsi Merapi Pdf
lazy

Download

Https Jurnal Unimus Ac Id Index Php Jlabmed Article Download 3187 Pdf
lazy

Download

Chairunnisa Widiantari 3a Enzim Lipase
id.scribd.com
lazy

Download

Http Digilib Unhas Ac Id Uploaded Files Temporary Digitalcollection Nzhjyzaxoddhzdgzztqym2e1mdhmzge5ngvjy2fhndhjngmyntqzna Pdf
lazy

Download

Pengertian Sifat Cara Kerjanya Dan Komponen Enzim
ekosistem.co.id
lazy

Download

Presentase Enzim Lipase
pt.slideshare.net
lazy

Download

Http Digilib Unhas Ac Id Uploaded Files Temporary Digitalcollection Nzhjyzaxoddhzdgzztqym2e1mdhmzge5ngvjy2fhndhjngmyntqzna Pdf
lazy

Download

Http File Upi Edu Direktori Fpmipa Jur Pend Biologi 196512271991031 Suhara 9 Bab 9 Enzim Ppt Upi Pdf
lazy

Download

Enzim Klasifikasi Enzim Struktur Enzim Dan Mekanisme Kerja Enzim Ppt Download
slideplayer.info
lazy

Download

Fungsi Enzim Lipase Beserta Penjelasan Singkat Dan Jenisnya
rumus.co.id
lazy

Download

Https Encrypted Tbn0 Gstatic Com Images Q Tbn 3aand9gctdnafxe5ksdco9fc Sqvj0bw0ozvyqmaknfmpq Hybtmzsak94 Usqp Cau
encrypted-tbn0.gstatic.com
lazy

Download

Http Ejournal Kemenperin Go Id Ihp Article Download 3476 Pdf 12
lazy

Download

Kinetika Reaksi Hidrolisis Dengan Enzim Lipase
www.slideshare.net
lazy

Download

Enzim Dan Vitamin
id.scribd.com
lazy

Download

Struktur Enzim
www.slideshare.net
lazy

Download

Enzim Pengertian Sifat Komponen Dan Cara Kerjanya
gurusekolah.co.id
lazy

Download

Enzim Pengertian Sifat Fungsi Struktur Dan Macam Macam
materibelajar.co.id
lazy

Download

Enzim Klasifikasi Enzim Struktur Enzim Dan Mekanisme Kerja Enzim Ppt Download
slideplayer.info
lazy

Download

Struktur Enzim
www.slideshare.net
lazy

Download

Enzim Klasifikasi Enzim Struktur Enzim Dan Mekanisme Kerja Enzim Ppt Download
slideplayer.info
lazy

Download

2
lazy

Download

Tahukah Anda Apa Itu Enzim
www.akacn.ac.id
lazy

Download

Http Repository Upnyk Ac Id 118 1 Produksi Karakterisasi Dan Isolasi Lipase Dari Aspergillus Niger Pdf
lazy

Download

Https Jurnal Ugm Ac Id Jrekpros Article Download 1899 1704
lazy

Download

Struktur Enzim
www.slideshare.net
lazy

Download

Fungsi Usus Halus Pengertian Struktur Bagiannya Lengkap
materi.co.id

Random Posts