Tabel Bunga Majemuk

Rumus excel bunga majemuk sobat yang belajar ekonomi di sma maupun yang belajar tentang dan perbankan akan belajar tentang materi dasar bunga majemuk. Tabel bunga yang saya buat sampai 50 tahun dan presentase hingga 20. Bunga majemuk adalah bunga yang timbul pada setiap akhir jangka waktu tertentu bulantahun yang memengaruhi besarnya modal dan bunga pada.
tabel bunga majemuk

lazy

Download

Ani Menyimpan Uang Sebesar Rp 2 000 000 Disebuah Bank Yg Memberikan Bunga Majemuk 2 Semester Brainly Co Id
brainly.co.id
lazy

Download

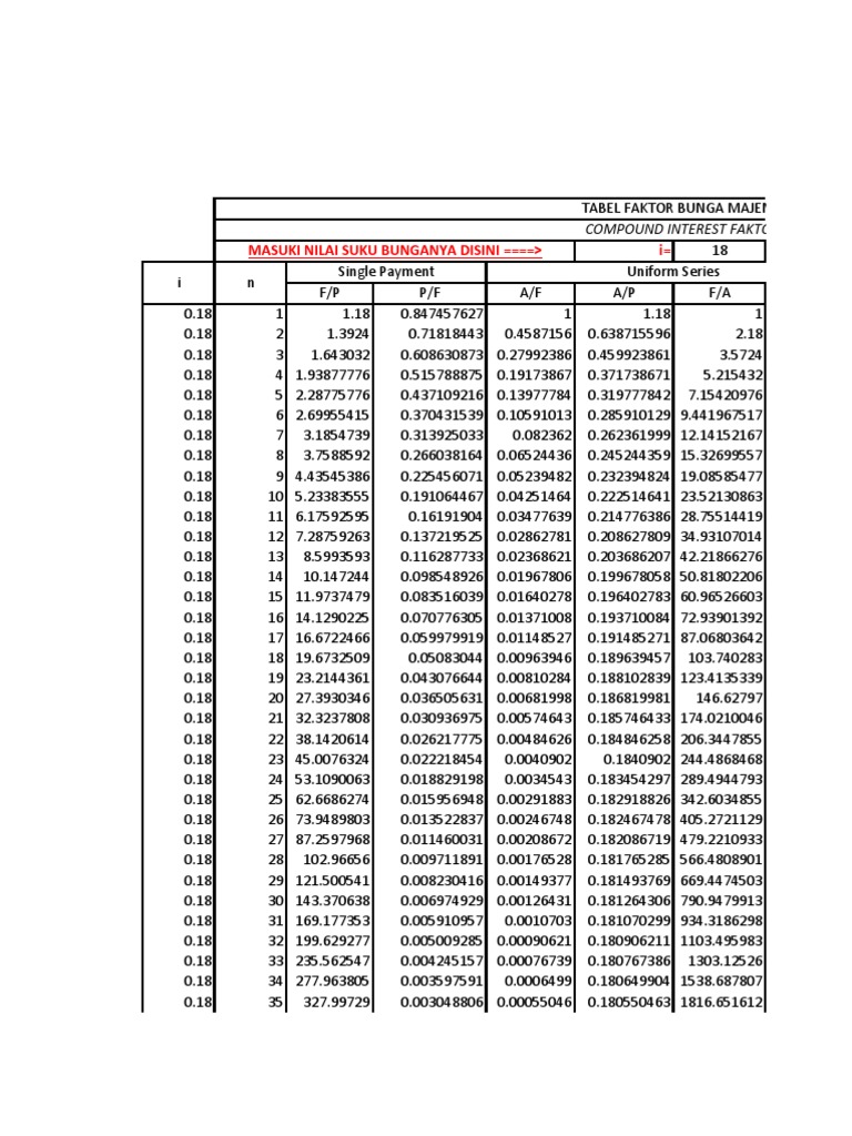
Tabel Faktor Bunga Majemuk
id.scribd.com
lazy

Download

Bunga Tunggal Dan Contohnya Konsep Matematika Koma
www.konsep-matematika.com
lazy

Download

Https Stie Igi Ac Id Wp Content Uploads 2020 04 7 Modul 7 Akm 1 Akuntansi Dan Nilai Waktu Dari Uang Bab 6 Pdf
lazy

Download

Perencanaan Keuangan Online Indopremier Ipotplan
www.indopremier.com
lazy

Download

Belajar Tentang Bunga Sederhana Dan Majemuk Forex Indonesia
forexindonesia.org

R 1 x 12 12 th fp 1 00112 11268 suku bunga efektif.

Tabel bunga majemuk. Contoh soal bunga majemuk tabel bisa lo dapati di halaman ini. Sebelum masuk kedalam pembahasan materi yang akan dibahas yaitu pengertian bunga majemuk rumus bunga tulisan terbaru. Perhatikan ilustrasi berikut ini.

Bunga tunggal dihitung berdasarkan modal sedangkan bunga majemuk perhitungannya berdasarkan saldo sebelumnya saldo setelah ditambahkan bunga. Nah pada bunga majemuk besar bunga setiap periodenya tidak samayuk kita bahas lebih lanjut mengenai cara menghitung bunga majemuk. By azzahra rahmah posted on april 30 2020.

Suku bunga 1 sebulan suku bunga nominal. Rg squad sebelumnya kalian sudah belajar mengenai bunga tunggal yang memiliki besar bunga yang sama setiap periodenya. Berbagai berita tentang contoh soal bunga majemuk tabel dan taman lain nya juga dapat sobat.

Pada postingan kali ini saya mau share tabel bunga buatan saya dimana tabel bunga memiliki fungsi untuk menghitung bunga majemukanuitas dari jumlah tahun dan presentase bunga tersebut. Sinta meminjam uang di koperasi untuk membeli mobil sebesar rp7500000000 dengan bunga majemuk 3 selama 3 tahun. Ie 01268 1268 th suku bunga 3 tiap 3 bulan.

Pada artikel ini kita akan membahas materi bunga majemuk dan contohnya. Demikian pembahasan tentang pengertian rumus menghitung dan contoh soal bunga majemuk mohon maaf jika ada kesalahan atau kekurangan dalam penulisan dan pembahasan pada pengertian rumus dan contoh soal bunga majemuk diatas selamat belajar dan memahami tentang bunga majemuk. Jadi lamanya tabungan kakak tersebut yang disimpan yaitu 5 tahun.

Proses bunga berbunga pada ilustrasi ini dinamakan bunga majemuk. Bunga majemuk banyak digunakan untuk mengestimasi hasil dari sebuah investasi. Perbandingan antara bunga tunggal dan bunga majemuk diilustrasikan pada tabel berikut ini.

Bunga majemuk pengertian rumus dan contoh soal. Suku bunga efektifmirip dengan bunga majemuk memperhatikan nilai waktu dari bunga. Bunga majemuk bunga majemuk adalah.

lazy

Download

Bab 2 Konsep Ekuivalensia Ppt Download
slideplayer.info
lazy

Download

Jual Tabel Matematika Lengkap Kab Tangerang Kumpulan Buku Bekas Tokopedia
www.tokopedia.com
lazy

Download

Bunga Majemuk Dan Contohnya Konsep Matematika Koma
www.konsep-matematika.com
lazy

Download

Http Ardiprawiro Staff Gunadarma Ac Id Downloads Files 44255 Bab 3 Pdf
lazy

Download

Sepeda Motor Listrik Ramai Mengaspal Berikut Komparasi Finansialnya Dibanding Skutik
b2tke.bppt.go.id
lazy

Download

Bunga Majemuk Dan Nilai Waktu Uang
studylibid.com
lazy

Download

Modal Sebesar Rp 2 000 000 00 Disimpan Di Bank Dengan Suku Bunga Majemuk 2 Per Tahun Brainly Co Id
brainly.co.id
lazy

Download

Perbedaan Suku Bunga Flat Anuitas Dan Efektif Ras Inside
rasthej.wordpress.com
lazy

Download

Tabel Matematika Lengkap Kecil Buana Raya Pustaka Baru
pustakabaru.com
lazy

Download

Bunga Flat Menghitung Bunga Pinjaman Dengan Sistem Bunga Flat Dalam Excel Adhe Pradiptha
www.adh-excel.com
lazy

Download

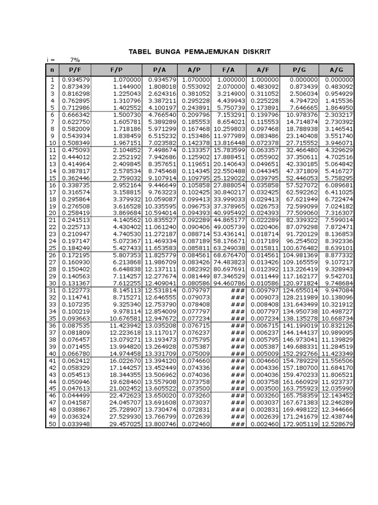
Tabel Bunga Pemajemukan Diskrit Download Docx
dokumen.tips
lazy

Download

Tabel Bunga Excel
id.scribd.com
lazy

Download

Pertumbuhan Investasi Bagai Tabungan Dengan Bunga Berbunga Investor Sadar
investorsadar.com
lazy

Download

Metode Perhitungan Bunga Kredit Ppt Download
slideplayer.info
lazy

Download

Tabel Bunga Pemajemukan Diskrit
www.slideshare.net
lazy

Download

Bunga Flat Vs Bunga Efektif Mana Yang Lebih Menguntungkan Woke Id
www.woke.id
lazy

Download

Pembahasan Lengkap Bunga Anuitas Beserta Tabel Anuitas
www.sheetmath.com
lazy

Download

1 Konsep Nilai Waktu Uang Konsep Nilai Waktu Dari Uang Adalah Uang Mempunyai Suatu Nilai Tertentu Yang Dipengaruhi Oleh Waktu Dan Tingkat Bunga Pdf Free Download
docplayer.info
lazy

Download

Tabel Bunga Pemajemukan Diskrit Dan Tabel Pdf Document
fdokumen.com
lazy

Download

Contoh Soal Dan Jawaban Bunga Sederhana Dan Bunga Majemuk Peranti Guru
perantiguru.com
lazy

Download

Barisan Dan Deret Penerapan Dalam Kehidupan Sehari Hari Ika Desi B
ikadesi-b.com
lazy

Download

Tabel Bunga 0 25 2 5 Pdf
pdfslide.net
lazy

Download

Suku Bunga
www.scribd.com
lazy

Download

Https Encrypted Tbn0 Gstatic Com Images Q Tbn 3aand9gcrphnwyov5n8x9jib7lq65a C Hwmuyzdvx3wikftxbsrrtyq9x Usqp Cau
encrypted-tbn0.gstatic.com
lazy

Download

Https Encrypted Tbn0 Gstatic Com Images Q Tbn 3aand9gcrphnwyov5n8x9jib7lq65a C Hwmuyzdvx3wikftxbsrrtyq9x Usqp Cau
encrypted-tbn0.gstatic.com
lazy

Download

Ppt Konsep Bunga Powerpoint Presentation Free Download Id 4163500
www.slideserve.com
lazy

Download

Minggu 2
web.ipb.ac.id
lazy

Download

Tabel Bunga Majemuk A Bunga Tunggal Dihitung Berdasarkan Modal Yang Sama Bunga Majemuk Dan Nilai
pdfslide.tips
lazy

Download

Pertumbuhan Investasi Bagai Tabungan Dengan Bunga Berbunga Investor Sadar
investorsadar.com
lazy

Download

92054034 Tabel Bunga Pdf Document
vdocuments.site
lazy

Download

Https Stie Igi Ac Id Wp Content Uploads 2020 04 7 Modul 7 Akm 1 Akuntansi Dan Nilai Waktu Dari Uang Bab 6 Pdf
lazy

Download

Matematika Wajib Kelas Xii By Abdullah Sman 1 Genteng Issuu
issuu.com
lazy

Download

Nilai Waktu Uang Time Value Of Money Ppt Download
slideplayer.info
lazy

Download

Tabel Bunga Pemajemukan Diskrit
www.slideshare.net
lazy

Download

Minggu 2
web.ipb.ac.id
lazy

Download

Future Value Present Value Rumus Vs Tabel Bunga Majemuk Youtube
www.youtube.com
lazy

Download

Rumus Dan Contoh Menghitung Bunga Efektif Dengan Rumus Dalam Microsoft Excel Adhe Pradiptha
www.adh-excel.com
lazy

Download

Tabel Bunga Pemajemukan Diskrit
www.slideshare.net
lazy

Download

Http Abe Fp Unila Ac Id Wp Content Uploads Sites 10 2013 09 P02 A Bunga Modal Pdf
lazy

Download

Tabel Faktor Bunga Kompon Khol
pdfslide.net
lazy

Download

Ada Apa Dengan Bunga Investor Id
investor.id
lazy

Download

Engineering House Tabel Sin Cos Tan Dari 0 Sampai 360
engineeringhouse.blogspot.com
lazy

Download

Belajar Tentang Bunga Sederhana Dan Majemuk Forex Indonesia
forexindonesia.org
lazy

Download

Nilai Waktu Uang Time Value Of Money Ppt Download
slideplayer.info
lazy

Download

Bunga Majemuk Pengertian Tabel Rumus Dan Contoh Soal
kabarkan.com
lazy

Download

Ringkasan Ekonomi Teknik Bab 3 Konsep Ni
123dok.com
lazy

Download

Bunga Majemuk Pengertian Rumus Dan Contoh Soal
rumus.co.id
lazy

Download

Rumus Excel Menghitung Bunga Anuitas Ms Office Indonesia
msoffice.id
lazy

Download

2 Bunga Majemuk
www.slideshare.net
lazy

Download

Michael And The Other Complicated Things The Power Of Compound Interest
michael-hans.blogspot.com
lazy

Download

Free Bantuan Tabel Di Bawah Nilai Tunai Rente Postnumerando Dengan Bank Tersebut Memperhitungkan Suku Bunga Majemuk 10 Pertahun Berdasarkan Tabel Pdf Document
fdokumen.com
lazy

Download

Cara Menghitung Bunga Tunggal Rupiah Waktu Persen Modal Cara Aimyaya Cara Semua Cara
www.cara.aimyaya.com
lazy

Download

2
lazy

Download

Tabel Bunga Majemuk Dan Anuitas Lengkap 50 Tahun Bunga Buatan Bunga Blog
id.pinterest.com
lazy

Download

Bab V Kesimpulan Dan Saran Pembangunan Rapid Test Maka Dapat Disimpulkan Sebagai Berikut Pdf Free Download
docplayer.info
lazy

Download

Pertumbuhan Investasi Bagai Tabungan Dengan Bunga Berbunga Investor Sadar
investorsadar.com
lazy

Download

20583903 Suku Bunga Docx
fr.scribd.com
lazy

Download

Stay Invested Investasi Di Reksa Dana Saham Sebaiknya Untuk Jangka Panjang Portalreksadana Com
www.portalreksadana.com
lazy

Download

Pdf Manajemen Keuangan Ilustrasi Perhitungan Bunga Majemuk Andika Satria Academia Edu
www.academia.edu
lazy

Download

Http Abe Fp Unila Ac Id Wp Content Uploads Sites 10 2013 09 P02 A Bunga Modal Pdf
lazy

Download

Tabel Bunga Majemuk Pdf Document
fdokumen.com
lazy

Download

Software Anuitas Solusi Menghitung Suku Bunga Kredit
mcscv.com
lazy

Download

Pembahasan Suku Bunga Forex Indonesia
forexindonesia.org
lazy

Download

Tabel Bunga
id.scribd.com
lazy

Download

Matematika Di Sma Khazanah Matematika 3 Ips Sma Ma Bab 5 Tabel Bunga Majemuk Glosarium Dan Kunci Soal Terpilih
matematikadisma.blogspot.com
lazy

Download

Pembahasan Contoh Soal Anuitas Tabel Angsuran Soalfismat Com
soalfismat.com
lazy

Download

Tabel Bunga Majemuk Dan Anuitas Lengkap 50 Tahun
budibreak.blogspot.com
lazy

Download

Tabel Bunga Pemajemukan Diskrit
www.slideshare.net
lazy

Download

Manajemen Keuangan Future Value Present Value Konsep Anuitas Time Value Of Money Septiani Juniarti Se Mm Modul Ke Fakultas Ekonomi Pdf Download Gratis
docplayer.info
lazy

Download

Https Encrypted Tbn0 Gstatic Com Images Q Tbn 3aand9gcrphnwyov5n8x9jib7lq65a C Hwmuyzdvx3wikftxbsrrtyq9x Usqp Cau
encrypted-tbn0.gstatic.com
lazy

Download

4 Sebuah Modal Rp15 000 000 00 Disimpan Dibank Yang Memberikan Suku Bunga Majemuk 6 Pertahun Brainly Co Id
brainly.co.id
lazy

Download

Opini Primer Utang Indonesia
www.harianterbit.com
lazy

Download

Https Matematika15 Files Wordpress Com 2015 10 Las P Matematika Keuangan Bunga Majemuk Angsuran Anuitas Pdf
lazy

Download

Manajemen Keuangan Nilai Waktu Dari Uang Ppt Download
slideplayer.info
lazy

Download

Tabel Bunga Pemajemukan Diskrit
www.slideshare.net
lazy

Download

Tabel Suku Bunga Pdf
www.scribd.com
lazy

Download

Tabel Bunga Pemajemukan Diskrit Pdf Download Mahasiswa Kuliah Nangkring
mahasiswakunang.blogspot.com
lazy

Download

Menghitung Hasil Majemuk Dengan Tabel Data Excel
support.microsoft.com
lazy

Download

Tabel Bunga
id.scribd.com
lazy

Download

Tabel Bunga Pemajemukan Diskrit
www.slideshare.net
lazy

Download

Saldo Tabungan Dengan Suku Bunga Majemuk Persemester Pembahasan Soal Unbk Akp 2018 Youtube
m.youtube.com
lazy

Download

Https Encrypted Tbn0 Gstatic Com Images Q Tbn 3aand9gctxjdqzksrpolbegjw4dxb5b8290udlmn3 Xlgt3m4qozpskzw0 Usqp Cau
encrypted-tbn0.gstatic.com
lazy

Download

Tabel Bunga
id.scribd.com
lazy

Download

Tabel Bunga Pemajemukan Diskrit N P F F P P A A P F A A F P G A G
www.scribd.com
lazy

Download

Tabel Pemajemukan Diskrit
id.scribd.com
lazy

Download

Dari Hasil Survey 3 Siswi Yang Gemar Mendepositokan Uangnya Di Beberapa Bank Berbeda Dengan Suku Brainly Co Id
brainly.co.id
lazy

Download

Http Dosen Uta45jakarta Ac Id Downlot Php File Nilai 20waktu 20uang 20 Pdf
lazy

Download

Https Matematika15 Files Wordpress Com 2015 10 Las P Matematika Keuangan Bunga Majemuk Angsuran Anuitas Pdf
lazy

Download

I Per Bulan Perhitungan Bunga Pdf Download Gratis
docplayer.info
lazy

Download

Tabel Bunga Majemuk Ekonomi Teknik Thp Indralaya Kelompok 2 Youtube
www.youtube.com
lazy

Download

Tabel Bunga Pemajemukan Diskrit
www.slideshare.net
lazy

Download

Analisis Life Cycle Cost Pada Pemeliharaan Gedung Studi Kasus Pdam Tirta Nauli Sibolga
123dok.com
lazy

Download

Tabel Bunga Pemajemukan Diskrit
www.slideshare.net
lazy

Download

Minggu 3
web.ipb.ac.id
lazy

Download

Biaya Surat Utang Era Jokowi Terbesar Dalam Sejarah Dan Kemahalan
www.katta.id
lazy

Download

Tabel Bunga Vadilla
dokumen.tips
lazy

Download

Rumus Excel Bunga Majemuk Rumushitung Com
rumushitung.com
lazy

Download

Download Surender Of Heroe S
adetrooper.wordpress.com

Random Posts